✍️ 周茂  •  📅 2024-06-07

grdseamount

官方文档:

grdseamount

简介:

创建合成海山(包括高斯、抛物线、多项式、圆锥、圆盘形状的圆形或椭圆型海山)

grdseamount 使用给定的地形形状参数生成多种合成海山。输入数据中包括每个海山的 位置和大小,即 lon, lat, radius, height 。对于椭圆形的海山( -E ),则包括 lon, lat, azimuth, semi-major, semi-minor, height 。 如果使用 -F 选项以生成平顶海山,但后面没有 flattening 参数,则输入数据的 最后一列为 flattening 参数。对于随时间变化的地形,可以使用 -T 选项,这样 输入数据的最后两列为海山的开始和停止时间。这种情况下,可以输出海山最终的累积 形状,也可以输出其中每个时间点的形状或变化( -Q )。如果海山存在滑坡( -S ), 则输入数据中最后一列或者几列为滑坡参数。

Source Code

../../_images/df5dcef9bcf41f57a78ae07aa874dbc3.png

多项式平顶海山,其侧面存在两个滑坡。用户可以为海山的形成过程指定一个时间跨度, 并为单独的滑坡指定时间跨度。

语法

gmt grdseamount [ table ] -Goutgrid -Iincrement -Rregion [ -A[out/in][+sscale] ] [ -C[c|d|g|o|p] ] [ -Dunit ] [ -E ] [ -F[flattening] ] [ -HH/rho_l/rho_h[+ddensify][+bboost][+ppower] ] [ -K[densitymodel] ] [ -L[hn] ] [ -M[list] ] [ -Nnorm ] [ -Qbmode[/fmode][+d] ] [ -S[+a[az1/az2]][+b[beta]][+d[hc]][+h[h1/h2]][+p[power]][+t[t0/t1]][+u[u0]][+v[phi]] ] [ -Tt0[/t1/dt][+l] ] [ -Zlevel ] [ -V[level] ] [ -Wavedensity ] [ -bibinary ] [ -eregexp ] [ -fflags ] [ -iflags ] [ -rreg ] [ --PAR=value ]

输入数据

table

一个或多个ASCII或二进制表数据。若不提供表数据,则会从标准输入中读取。

必须选项

如果使用 -L 选项则无需下列选项:

-G

-Goutgrid[=ID][+ddivisor][+ninvalid][+ooffset|a][+sscale|a][:driver[dataType][+coptions]]

输出网格文件名。通过追加 =ID 可指定 网格格式。 参数详细介绍请参考 写 netCDF 文件

如果使用 -T 选项,则需要使用 C 语言的语法指定输出格网序列的名称格式。 如果输出文件名中包含 %s (单位名称) 或 %c (单位字母),GMT 将会使用每个 网格对应的时间生成文件名,否则会使用年作为时间生成文件名,见 网格文件名模版

-I
-Ixinc[+e|n][/yinc[+e|n]]

指定X和Y方向的网格间隔

  • xincyinc 为 X 和 Y 方向的网格间隔。对于地理坐标,可以指定网格间隔单位 [默认单位为度]

  • +e 微调X和Y方向范围的最大值,使得其是网格间隔的整数倍(默认会微调 网格间隔以适应给定的数据范围)

  • +n 表明 xincyinc 不是网格间隔,而是X和Y方向的节点数。 此时会根据节点数、网格区域范围以及网格配准方式重新计算网格间隔。

注意:

  • yinc 设置为0,则表示其与 xinc 相同

  • 若使用 -Rgrdfile 选项,则网格间隔和配准方式已经根据网格文件自动初始化, 此时依然可以使用 -I-r 覆盖相应的值

-R
-Rxmin/xmax/ymin/ymax[+r][+uunit]

指定数据范围。 (参数详细介绍)

可选选项

-A
-A[out/in][+sscale]

创建一个 mask 网格以区分海山以及外部,分别用 outin 表示内部和 外部的值 [1/NaN]。海山的高度以及是否平顶不影响本选项,但 -L-N-Z 选项不能和本选项同时使用。使用 +s 缩放海山的半径[1]。

-C
-C[c|d|g|o|p]

选择海山的形状函数: c (圆锥), d (圆盘), g (高斯), o (多项式)和 p (抛物线) [默认为高斯]。除圆盘外,其他所有的 海山都可以使用带 f 参数的 -F 选项来截断变成平顶海山。如果 -C 选项没有任何追加的字母,则从输入的最后一列中读取海山形状。如果不使用 -C 选项,默认为高斯海山。

Source Code

../../_images/cfc569979044cbb69715dcb0b32469de.png

在上述所有海山中, \(h_0\) 是海山最大高度,\(r_0\) 为基底半径, \(h_n\) 是相对于 -L [0] 指定的噪声基底的高度,f-F 选项设置的 平顶海山相关的参数。平顶部分的半径为 \(r_t\) , 对于圆盘形状海山,不存 在该参数。

-D
-Dunit

设置数据文件中的水平距离的单位。对于地理坐标( -fflags ),不需要该 选项,在平地球的近似下,自动转换为 km

-E
-E

设置海山的基地为椭圆形状。如果使用该选项,则海山数据数据格式应该为: lon, lat, azimuth, semi-major, semi-minor, height (后面三个单位为 m) [ 默认底部为圆,输入数据格式为 lon, lat, radius, height ] 下图中的 \(\alpha\) 即为 azimuth

Source Code

../../_images/3bc2e22ba5596e5675128e78f736d343.png
-F
-F[flattening]

该参数将海山截断为平顶海山。flattening 参数的范围从 0[不截断] 到 1,但不能为 1, 如果不使用该选项,就默认在输入文件的最后一列读取该参数 [ 默认没有截断 ]。使用 -Cd 选项时,忽略该选项。

-H
-HH/rho_l/rho_h[+ddensify][+ppower]

设置参考海山密度相关的参数,该参数用于随深度变化的径向(即下图中的 r 轴向)密度函数。 以 kg/m^3 或 g/cm^3 为单位设置海山的密度,以 m 为单位设置固定参考高度 H [0]。 使用 +d+p 选项改变水压驱动的侧面密度 densify ,以及可变密度的指数 power ,即下图中的 \(\Delta \rho_f\)p ,默认 power 为 1,即为线性 变化。 下图中,h(r) 是海山在 r 位置处的高度,z(r)h(r) 含义相近,不过在海山 内部。如果海山为平顶海山(见 -F ),h(r) 仍然为未截断的情况。 :如果使用 -W 选项,将会报告每个海山的平均密度。径向密度函数的定义为 \(\Delta \rho_s = \rho_h - \rho_l\) ,其中 \(\rho_h\) 即参数中的 rho_h\(\rho_l\) 为参数中的 rho_l ,分别为密度的两个极值(high 和 low)。\(\Delta \rho_f\) 为参数中的 densify

\[\rho(r,z) = \rho_l + \Delta \rho_f \left (\frac{H-h(r)}{H} \right ) + \Delta \rho_s \left ( \frac{h(r)-z(r)}{H} \right )^p\]

Source Code

../../_images/16eb57317f4904a9b9e85e8309fd6bde.png
-K
-Kdensitymodel

保存参考模型横截面的预测密度文件 densitymodel 。这里使用归一化的坐标,即 半径 x 和高度 z 从 0 到 1,两者的增量都是 0.005,生成 201 x 201 大小的网格。 :无需创建海山网格即可使用该选项,因此,-R-I-G-D 选项都不是必须的。

-L
-L[hn]

输出海山的面积,体积和平均高度。不创建网格。 使用 hn 参数来指定位于 hn 高度下的部分将不被统计以避免底部噪声的影响 [0]

-M
-M[list]

在使用 -T 参数的前提下,将所有输出网格文件对应的时间和名字输出到 list 文件中。不指定 list 时,输出到标准输出。第一列为时间,单位 为年,最后一列为格式化的时间。使用 -W 可同时输出密度网格名。 输出的序列将可以作为 grdflexure 模块的输入。 使用 -M 参数后的输出网格文件名为 time reliefgrid [ densitygrid ] timetag

-N
-Nnorm

标准化海山网格,使得网格的最大高度等于 norm

-Q
-Qbmode/fmode[+d]

只能和 -T 选项共同使用。bmodefmode 用来设置如何处理海山的变化, 默认为 -Qc/g

bmode 用来设置海山演化使用累积结果还是增量结果,即海山的表面:

  • c 表示随时间累积的海山 [默认]

  • i 表示每个时间段海山演化的增量

fmode 用来设置海山的变化率,即体积变化率:

  • c 表示常数变化率

  • g 表示高斯变化率 [默认]

下图中展示了上述几种模式的区别。默认情况下,计算的海山的增量和累积量, 使用 +d 选项可以将该增量或者累积量以等效圆盘的形式表达。

Source Code

../../_images/ddd23c10255d2b3f934bfe6ec25ca6fb.png

bmode 两种情况下的海山图(高斯海山,没有平顶,体积线性变化),横坐标 为海山水平方向的尺度,纵坐标为海山的高度,以二维的变化来显示海山的演化。 左图为使用 c 的情况,表示使用实际地形,也就是随时间累积的地形; 右图为使用 i 的情况,显示了地形随时间变化的增量

Source Code

../../_images/42d5528e5c8c9f8fe22b005568a816c6.png

fmode 的两种情况,横坐标为相对时间,纵坐标为某时刻海山体积与初始海山体积 的比值。 虚线为设置为 c 的情况;粗实线为设置为 g 的结果。

-S
-S[+a[az1/az2]][+b[beta]][+d[hc]][+h[h1/h2]][+p[power]][+t[t0/t1]][+u[u0]][+v[phi]]

设置参数来控制海山的扇形滑坡,参数适用于所有海山。如果指定了子选项而 没有给定参数,则从输入文件的最后几列中读取,其顺序与子选项字母顺序一致, 而不是与子选项出现的顺序一致。如果每个海山有多于一个的滑坡,则重复选项 或者文件中的参数。子选项含义如下:

  • +a 设置扇形滑坡中扇形的角度 [0/360]

  • +b 为标准化的滑坡体积时间曲线 \(\psi(\tau) = \tau^\beta\) 设置 正指数系数 \(\beta\) ,默认为线性,即为 1;\(\tau\) 的定义见 +t

  • +d 设置滑坡碎片沉积开始的高度,默认为 \(h_1/2\)

  • +h 设置滑坡扇形区域的上下高度

  • +p 激活径向滑坡轮廓的角度变化,通过添加幂指数 p 来调节, p > 2。 : 对于多个滑坡,可对某些滑坡设置单独的 p = 0,即关闭角度变化。

  • +t 通过 \(\psi(\tau)\) (见 +b) 设置滑坡发展过程的时间跨度, 其中,\(\tau = (t - t_0)/(t_1 - t_0)\) 为归一化的时间,该选项需要 -T 选项

  • +u 设置归一化的径向滑坡形状参数 \(u_0 > 0\) [0.2]

  • +v 设置滑坡的体积相对于整个海山体积的百分比

其中部分参数可结合 滑坡模拟细节 理解。

Source Code

../../_images/4348fdd34694a3ef77a45fa0e6a9ff6a.png

上图为自适应的近似滑坡几何图,其中使用了 +d+h 以及 +a 选项。 滑坡的体积(粉红色)在滑动的过程中将逐渐沉积在浅蓝色部分,沉积物从高度 \(h_c\) 开始,线性变化到 \(r_d\) 时变为 0。其中与半径相关的参数 都是从海山的高度以及形状中计算得到的。\(h_2 > h_1\)\(r_1 > r_2\)

-T
-Tt0[/t1/dt][+l]

设置海山演化序列的起始时间,终止时间和时间间隔,分别为 t0, t1dt [默认只执行一次计算,与时间无关]。对于单个时间,只给定起始时间。 默认时间单位是年,追加 k 表示千年,追加 M 表示百万年。 使用 +l 选项以及将 dt 替换为 n 可以设置对数时间轴。或者,还 可以设置一个文件 file ,文件中第一列为时间,其中的时间也可追加单位, 不追加时默认使用年。 使用 -T 选项时,将对每个时刻的海山都输出一个网格。

-W
-Wavedensity

指定垂直平均密度的网格文件。如果设置了 -T 选项,avedensity 必须是 具有 C 语言语法的模版名称。如果模版文件名中有 %s(单位名)或者 %c(单位 字符),将使用 -T 选项对应的时间的网格文件,见 网格文件名模版 。 需要使用 -H 定义密度模型。

-Z
-Zlevel

指定背景海深 [0]。由于所有的海山具有向上的地形,设置较大的负的 level 可以将海山放在海洋里。可以追加 NaN 可以标记不被使用的节点(不能与 -Qi 同时使用)。

-V
-V[level]

设置 verbose 等级 [w]。 (参数详细介绍)

-bi
-bi[ncols][type][w][+l|b]

控制二进制文件的输入格式。 (参数详细介绍)

-e
-e[~]"pattern" | -e[~]/regexp/[i]

筛选或剔除匹配指定模式的数据记录。 (参数详细介绍)

-f
-f[i|o]colinfo

显式指定当前输入或输出数据中每一列的数据类型。 (参数详细介绍)

地理坐标网格的坐标将会使用平地球近似转换为 km。

-h
-h[i|o][n][+c][+d][+msegheader][+rremark][+ttitle]

在读/写数据时跳过文件开头的若干个记录。 (参数详细介绍)

-i
-icols[+l][+sscale][+ooffset][,...][,t[word]]

对输入的数据进行列选择以及简单的代数运算。 (参数详细介绍)

-r
-r[g|p]

设置网格配置方式 [默认为网格线配准]。 (参数详细介绍)

-:
-:[i|o]

交换输入或输出数据的前两列。 (参数详细介绍)

-^-

显示简短的帮助信息,包括模块简介和基本语法信息(Windows下只能使用 -

-++

显示帮助信息,包括模块简介、基本语法以及模块特有选项的说明

-? 或无参数

显示完整的帮助信息,包括模块简介、基本语法以及所有选项的说明

--PAR=value

临时修改GMT参数的值,可重复多次使用。参数列表见 配置参数

距离单位

GMT支持多种不同的距离单位,以及三种不同的球面距离计算方式。 详情见 单位-j 选项

网格文件名模版

网格文件名允许使用一定的规则来定制模版:

  • 若将格式化的时间作为文件名的一部分,则使用单个 %s 作为模版的一部分 (例如,smt_%s.grd)

  • 若想控制名称中数字的格式,但仍保留时间的单位,则可以使用 %f 和 %c 的组合。例如:smt_%05.1f%c.grd 将会生成类似 smt_001.1M.grd 的文件名。 时间将会进行缩放以适应设置的单位

  • 如果不想使用任何单位,则只需给丁一个浮点格式的模版,例如: smt_%05.1f_name.grd。时间的单位与原单位相同,即不使用缩放。

详细的格式信息,见 C 语言 printf 语法。

滑坡模拟细节

通过 -S 选项来模拟滑坡并不是物理模型,而是通过简单的几个形状和函数来 近似滑坡的形状及其演变。下面的(1)和(2)分别为滑坡在剖面和正面两侧的 形状,(3)为滑坡随时间的变化。

(1) 径向滑坡高度为 :

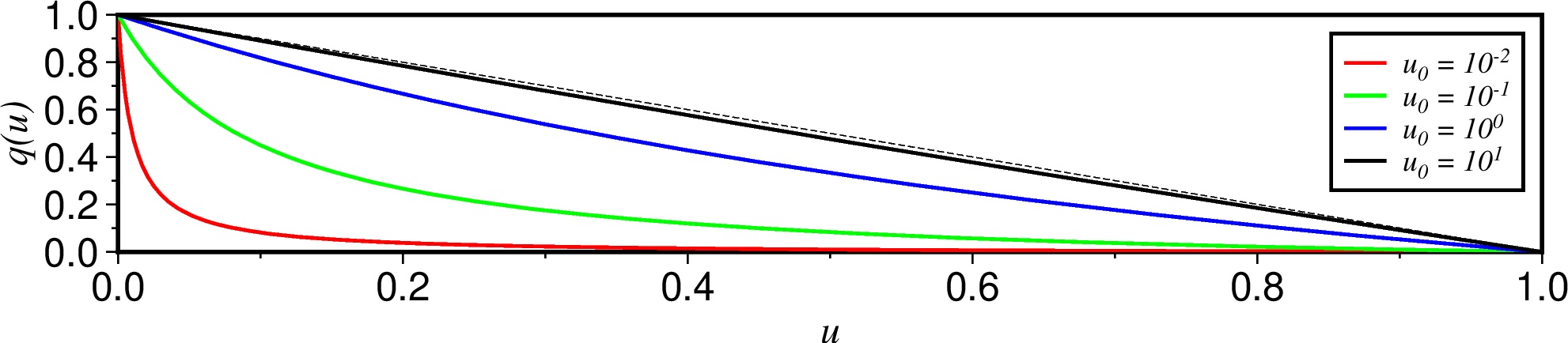
\[h_s(r) = h_s(u) = h_1 + (h_2 - h_1)q(u) = h_1 + (h_2 - h_1) u_0 \left (\frac{1 + u_0}{u + u_0} - 1\right )\]

式中,\(u = (r - r_2)/(r_1 - r_2)\) 为发生滑坡的破裂面归一化的水平距离。 该形状可以通过 +u 子选项调节 \(u_0\) 改变。

Source Code

../../_images/5a780e81d3ca17b706086193270d9154.png

上图为多种归一化的径向滑坡形状剖面曲线 \(q(u)\) ,可通过 +u 改变。例如: 圆锥形海山的滑坡在上图虚线以下。较小的 \(u_0\) 将会导致更深入地切入海山。

(2) 默认情况下,径向滑坡轮廓是固定的,不论滑坡位于海山的哪个侧面。但是,可以通过 下面的函数添加角度变化

\[s(\alpha) = s(\gamma) = 1 - \lvert \gamma \rvert ^p\]

其中, \(\gamma = 2 (\alpha - \alpha_1)/(\alpha_2 - \alpha_1) - 1\)p 为 幂指数,可通过 +p 设置。启用该选项时,使用 \(s(\alpha)\) 缩放径向滑坡剖面, 使其在两个扇形位置从 0 开始,然后在滑坡的扇形区域变速变化,较大的 p 值对应快速 增大,较小的 p 对应快速变小。该参数可以使滑坡扇形时更加平滑。

Source Code

../../_images/af71552c114be46b8a4e791a3cc6198f.png

上图为调节 +p 参数下的径向滑坡高度的振幅变化。这种变化会导致滑坡体积减少 \(1 - \bar{s}\) (虚线)。例如:当 p 为 2 时,滑坡体积只有原本的 67%。

(3) 滑坡不可能时瞬时发生的,而是在一段时间内发生的。通过模拟的归一化体积变化为:

\[\psi(t) = \psi(\tau) = \tau^\beta = \left (\frac{t - t_0}{t_1 - t_0} \right )^\beta\]

其中,\(\tau\) 为滑坡发生过程时间的归一化。使用该函数可计算给定时间滑坡 沉积的部分。+b 选项用来设置幂指数 \(\beta\)

Source Code

../../_images/57f32a9ae8923013c32c4be251fff327.png

通过上述函数,可以控制滑坡随时间演化的速度。线性的曲线意味着在质量在滑动期间 以恒定的速度沉积。调整 \(\beta\) 可以调整质量变化集中的时间, \(\beta < 1\) 表示发生在总体时间的早期,\(\beta < 1\) 表示发生在整个 过程的晚期。

注意事项

因为高斯曲线在海山的底部(3 倍 sigma)的幅值为最大幅度的 1.11%。这里计算 高斯海山时,计算到 4 倍 sigma,使得振幅下降到最大幅度的 0.034%,从而避免 在海山底部出现明显的阶梯。

示例

创建位于 1 分网格里在 1 W,2 S 处,基底半径为 30 km,高度为 4500 km 的圆形高斯海山:

echo 1W 2S 30 4500 | gmt grdseamount -R1:30W/0:30W/2:30S/1:30S -I1m -Ggeo_circ_smt.nc
gmt grdimage geo_circ_smt.nc -B -png circ

创建位于 1x1 的笛卡尔网格中的(200,400)处的椭圆形海山,基底长轴为 35,短轴为 20,长轴方位角为 29,高度为 3700 m,设置参数为 0.15 来获得平顶海山

echo 200 400 29 35 20 3700 | gmt grdseamount -R150/250/350/450 -I1 -E -F0.15 -Gcat_ell_smt.nc
gmt grdview cat_ell_smt.nc -B -Qi -I+d -JZ2c -p195/20 -png ell

计算两个底部为椭圆型的高斯平顶海山的变化,演化时间分别为 3 Ma 到 2 Ma 以及 2.8 Ma 到 1.9 Ma,海山体积变化率为常数;从 3 Ma 到 1.9 Ma 平均每 0.1 Myr 输出一个 网格

cat << EOF > t.txt
#lon lat azimuth, semi-major, semi-minor, height tstart tend
0   0       -20     120     60      5000    3.0M    2M
50  80      -40     110     50      4000    2.8M    1.9M
EOF
gmt grdseamount -R-1024/1022/-1122/924+uk -I2000 -Gsmt_%3.1f_%s.nc t.txt \
  -T3M/1.9M/0.1M -Qi/c -Dk -E -F0.2 -Cg -Mfiles.txt

l.lis 文件中将包含时间,网格文件名和单位。

除上述示例外, GMT 官方测试 中还有其他示例,包括与 grdflexure 一起使用的示例。

参考文献

Smith, J. R. and Wessel, P., 2000, Isostatic consequences of giant landslides on the Hawaiian Ridge, Pure Appl. Geophys., 157, 1097-1114, https://doi.org/10.1007/s000240050019.

相关模块

grdmath, gravfft, flexure, grdflexure